Wie man die Zinsrate mithilfe der Bar- und Zukunftswertformel berechnet
Die Berechnung der Zinsrate mithilfe der Barwertformel scheint erstmal unmöglich zu sein. Nichtsdestotrotz kann, mit ein wenig Mathematik und gesundem Menschenverstand, jeder die Zinsrate eines Investments berechnen, indem er den Preis, den Nominalwert und die Laufzeit hinzuzieht.
Bei der Formel geht’s ganz schön zur Sache
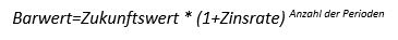
Lass uns mal die Formel für den Barwert eines Investments, basierend auf den zukünftigen Cashflows (dt. Geldfluss), runterbrechen. Ausgehend von dieser fundamentalen Formel werden wir die Bedingungen neu anordnen, um eine Formel für die Berechnung der Zinsrate zu bekommen.
In dieser Gleichung entspricht der Barwert (PV) des Investments dem aktuellen Preis und der Zukunftswert (FV) dem Nominalwert. Die Anzahl der Perioden (n) sollte an den Perioden des Zinssatzes (i) ausgerichtet sein – üblicherweise jährlich. Sechs Monate würden daher 0,5 Perioden entsprechen.
Mit ein wenig Algebra können wir die Formel neu anordnen und nach der Zinsrate auflösen. Das ergibt folgende Formel:
Mit dieser Formel müssen wir nur noch die bekannten Faktoren in die Gleichung einfügen und können den Zinssatz berechnen. Zugegeben, dies ist nicht die einfachste Formel der Welt und ein wissenschaftlicher oder finanzieller Taschenrechner wird für die Berechnung benötigt.
Glücklicherweise ist der Prozess für einige finanzielle Absichten viel einfacher als diese Gleichung
Erfreulicherweise brauchen wir häufig keine ausgefallene Mathematik, um die Zinsrate in der Finanzwelt zu berechnen. Für kurzfristige Investments wie Treasury Bills (kurzfristige amerikanische Staatsanleihen) kann die folgende Formel passender als unsere erste Gleichung sein.
Im Falle der Treasury Bills wissen wir den Einkaufspreis, den Barwert, den Nominalwert oder Zukunftswert, und die Restlaufzeit. Für kurzfristige Treasuries könnte die Laufzeit, abhängig von den Spezifikationen, zwischen 30 bis 182 Tagen betragen. Nehmen wir an, dass wir unsere Anleihe um 4.900 USD gekauft haben, die einen Nominalwert von 6.000 USD hat, und in 182 Tagen fällig ist.
Als ersten Schritt ziehen wir den Barwert vom Zukunftswert ab, um den tatsächlichen Kapitalrückfluss, den wir nach der Laufzeit bekommen, zu berechnen. In diesem Fall ergibt das 100 USD.
Als nächstes dividieren wir die Differenz durch den Nominalwert. 100 USD dividiert durch 6.000 USD ergibt 0,0167.
Der letzte Schritt ist einfach die Multiplikation des Ergebnisses mit dem Quotient, der entsteht wenn wir 360 durch die Restlaufzeit dividieren, also 182 in unserem Fall. 360 dividiert durch 182, multipliziert mit 0,0167 aus der vorangehenden Berechnung, ergibt 0,033, oder 3,3 % jährliche Zinsrate für diesen Treasury Bill.
Wenn du Zweifel hast, verwende das Internet
Falls du je Zweifel an der Berechnung der Zinsrate hast, mach dir keine Sorgen. Es gibt einen einfacheren Weg.
Dank der modernen Technik und des Internets gibt es online zahllose Zins- und Barwertrechner. Eine kurze Recherche wird dir dutzende Optionen liefern. Diese bieten dir den Komfort, die Variablen einfach nur einsetzen zu müssen und das Ergebnis berechnen zu lassen, ganz ohne die zuvor genannte Algebra.
Nicht zittern – handeln! Der Bärenmarkt-Überlebensguide für Börsenkrisen
Der Aktienmarkt ist derzeit wieder höheren Risiken ausgesetzt. Droht vielleicht sogar ein Bärenmarkt? Vielleicht – aber steck jetzt bloß nicht den Kopf in den Sand!
Wenn die Märkte schwanken und die Nerven flattern – genau dann zählt es, wie du dich als Anleger verhältst. Unser Bärenmarkt-Überlebensguide zeigt dir in vier Schritten, wie du klug, ruhig und strategisch durch jede Korrektur kommst – und sie vielleicht sogar zu deiner größten Chance machst.
Jetzt lesen und vorbereitet sein, wenn andere in Panik verfallen!
Dieser Artikel wurde von The Motley Fool Knowledge Center auf Englisch verfasst und wurde am 5.3.2016 veröffentlicht. Er wurde übersetzt, damit unsere deutschen Leser an der Diskussion teilnehmen können.
